Health ministry of Sri Lanka on Saturday announced that the bodies of deceased victims of COVID – 19 would be cremated to prevent any potential biological threat, amid requests from minority communities specifically from Muslim community.
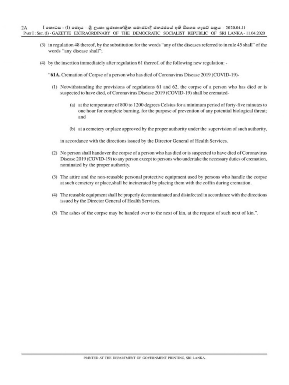
The gazette notification was issued on Saturday where health minister Dr. Pavithra Wanniarachchi said that the body shall be burned at a temperature between 800 to 1200 degree Celcius for a minimum period of 45 minutes to one hour.The health minister emphasized that the cremation should take place at a cemetery or a place approved by the authorities.
The body of the deceased will be handed over only to those involved in the cremation process, and that the ashes of the deceased may be handed over to their close relatives upon their request, according to the new regulation.
Further, the attire and non-reusable personal protective equipment used by persons who handle the corpse shall also be destroyed during cremation.


The WHO in an Interim Guidance issued on 24th March 2020 allows for burial as an option for COVID19 related deaths. However Sri Lankan authorities decided to fore-go WHO guidelines permitting burial, compelling authorities to cremate the bodies.
Amnesty international also called on authorities to stop forced cremation in a statement issued.
Two of the early coronavirus-related deaths in Sri Lanka have been those of Muslims who were forcibly cremated on the instructions of the authorities and against the wishes of the deceased’s families. The hurried cremation of the COVID-19 first Muslim victim was given wide publicity in local media, causing fear and shock-waves among the Muslim community but also fear and anguish among others.
For Sri Lanka’s Muslim community, who make up ten per cent of the population, burials are considered to be a required part of final rites in accordance with Islamic traditions.


The worst racist government just like current indian government manipulating against the Muslim minority so they think that they can eliminate the muslims and Islam. Muslims are the one brought riches culture to both of these countries including food, clothing, business, architectures etc., etc., These thankless jealousy low life sick human beings worshiping rocks, concrete, papers and cardboard will never grow up. One day Almighty Lord will teach them some lessons. That’s for sure.
LikeLike
correct.
backing by
China communist gov.
currupted.
against all Religions.
must bring in to justice.
LikeLike
Cremation is prohibited in islam and its completely un respectful for the dead body, it’s a insulting for the muslim community which srilankan government is doing,
Other world countries are burying of muslims dead bodies who are dead in covid 19,
We as .muslims fully against with creating of muslim dead bodies,
LikeLike
Cremation is prohibited in islam and its completely un respectful for the dead body, it’s great insulting for the muslim community which srilankan government is doing,
Other world countries are burying of muslims dead bodies who are dead in covid 19, which WHO allowed both burying and cremation etc.
We as .muslims fully against with cremating of muslim dead bodies,
LikeLike
Minority sentiments are not respected any more in paradise island country heading to very serious situation and creating unnecessary issues
LikeLike
bloody Government in Srilanka
bribery froe China Government
against Muslims & islam
LikeLike